Douglas' Space
시스템으로서의 인공신경망 본문
일단 우리가 다루는 시스템(계)은 오픈시스템(open system)입니다. 오픈시스템은 외부와 상호작용하여 어떤 정보, 에너지, 물질을 주고 받습니다. 오픈시스템은 또 다른 작은 오픈시스템으로 분할될 수 있습니다. 인간은 최하위 세포로 구성되어 있습니다. 인간도 오픈시스템이고, 세포도 오픈시스템인 셈입니다. 프로그램은 function으로 구성됩니다. 프로그램도 오픈시스템이고 function도 오픈시스템입니다.
이러한 오픈시스템을 형상화 한 것을 모델(model)이라고 하고, 이 형상화 작업을 모델링(modeling)이라고 합니다. 따라서 모델링은 시스템을 분석하고 설계하는 행위를 의미합니다. 오픈시스템을 형상화하면 외부환경으로 부터 다수의 입력을 받고, 무엇인가를 처리하고, 출력을 내보내는 것으로 표현됩니다. 즉, Inputs-Processing-Outputs 으로 모델링됩니다.

뉴런을 인공뉴런으로 모델링하면 I-P-O로 표현할 수 있습니다. 지난글에서 설명한 것처럼 하나의 인공뉴런은 외부의 다른 인공뉴런의 출력을 입력으로 받아서 입력의 가중치 합을 구해서 출력을 내 보냅니다. 즉, 다음과 같은 함수로 구성된 방정식으로 모델링됩니다. 따라서 하나의 인공뉴런은 함수로 표현됩니다.

따라서 인공신경세포는 내부에 가중치들 w1,w2,......,wn을 저장해야 합니다. 이것이 인공뉴런의 상태이며 저장소가 됩니다. 뉴런의 시냅스의 역할을 한다고 볼 수 있으며, 학습이란 이 가중치를 계속 수정해 나가는 과정이라고 할 수 있습니다.
인공신경망은 여러개의 인공신경세포가 연결된 구조로서 이 또한 하나의 오픈시스템으로서 다음과 같은 구조를 갖게 됩니다.

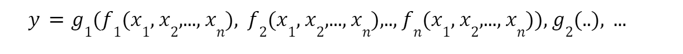
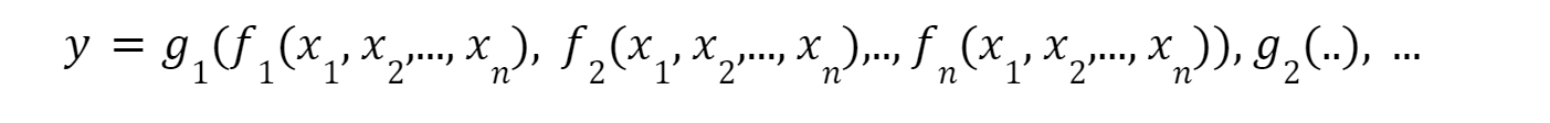
따라서 다음과 같은 합성함수 들의 집합체의 방정식으로 표현이 될 수 있습니다.

이를 소프트웨어로 구현하여 인공신경망 모델이라고 부릅니다. 따라서 딥러닝 시스템을 개발한다는 것은 입력데이타가 무엇이고 출력데이타가 무엇인가, 그리고 인공뉴런을 몇개나 어떻게 연결할 것인가를 결정하는 문제라고 이야기할 수 있습니다.
'Computing Tech. Diary > Artificial Intelligence' 카테고리의 다른 글
| 인공신경망의 기본, MLP (0) | 2022.04.28 |
|---|---|
| 인공신경망은 어떻게 학습할까? (0) | 2022.04.28 |
| 기억이란? (0) | 2022.04.28 |
| 피카소의 추상화 (0) | 2022.04.25 |
| Explainable AI의 필요성 (0) | 2022.04.25 |
